Videos
I'm going to rewrite this proof by dividing by all powers of ten and what not.
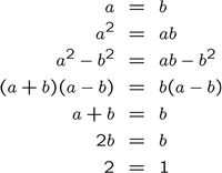
The proof essentially goes:
$$ \frac{0}{0}=\frac{2\cdot 0}{1\cdot 0}=\frac{2}{1}$$
The problem is in the first line, when you write $\frac{0}{0}$, which is undefined. Of course you could define it, but then it would be equal to every fraction since $$\frac{a}{b}=\frac{c}{d}$$ if $ad=bc$, and if $a=b=0$, then this is always true, since for any $c$ and $d$, $0\cdot d=0\cdot c$.
But then all fractions are equal to each other, so there is only really one fraction: $\frac{0}{0}$. This seems a lot less useful than the system we had before.
You cannot divide any number by $0$! In abstract algebra there are constructed algebraic structures where things similar to "dividing by zero" can be performed (zero divisors).
A new branch of mathematics is the nonstandard analysis in which with numbers which are tending to $0$ can be performed any calculations (these are infinitesimal numbers; it is in the set of hyperreal numbers).
