🌐
Statology
statology.org › home › how to find mean & standard deviation of grouped data
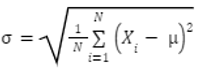
How to Find Mean & Standard Deviation of Grouped Data
March 25, 2022 - This tutorial explains how to find the mean and standard deviation of grouped data, including a step-by-step example.
🌐
Superprof
superprof.co.uk › resources › academic › maths › statistics › descriptive › standard deviation
Standard Deviation
January 27, 2024 - If you are in a situation where you’re only provided the variance, but want to know the standard deviation, simply take the square root of the variance. This is easy to remember because of the notation used for both measures.
Discussions

Standard deviation formula for groups of data
Assuming this is a sample of the population (CTRL+Shift+Enter): =STDEV.S(IF($A$2:$A$7="A",$B$2:$B$7,FALSE)) More on reddit.com
🌐 r/excel
6
3
January 29, 2019
Calculating standard deviation with groups
You would need to know the exact ages of all people in group one, two etc. to calculate the respective averages and standard deviations. More on reddit.com
🌐 r/learnmath
7
1
May 17, 2025
People also ask

How to calculate the mean of grouped data?
  1. Determine the midpoint of each interval.
  2. Sum up all frequencies to obtain the number of samples.
  3. For each range of grouped data, multiply its midpoint by associated frequency. Add them all up.
  4. Divide this value by the number of samples.
🌐
omnicalculator.com
omnicalculator.com › statistics › grouped-data-standard-deviation
Grouped Data Standard Deviation Calculator
What do you mean by Standard Deviation?
Standard Deviation is a measure that denotes how much variation from the mean exists. It determines the extent to which the values differ from the average.
🌐
byjus.com
byjus.com › jee › how-to-find-standard-deviation-of-grouped-data
How To Find Standard Deviation Of Grouped Data
What is the relation between Standard Deviation and Variance?
Standard Deviation is the square root of Variance. Variance is the average of the values of squared differences from the arithmetic mean.
🌐
byjus.com
byjus.com › jee › how-to-find-standard-deviation-of-grouped-data
How To Find Standard Deviation Of Grouped Data
🌐
Slideshare
slideshare.net › home › education › standard deviation :grouped data/continuous data
Standard deviation :grouped data/Continuous data | PPSX
• The S.D.for the Grouped data is given by the formula: 𝜎 = 𝑓𝑑2 𝑁 − 𝑓𝑑 𝑁 2 , •Where 𝑑 = 𝑥 − A, 𝐴 is the assumed mean • 𝑓 is the corresponding frequency and N = 𝑓 5/2/2020 Janak Singh Saud 11
🌐
Loughborough University
lboro.ac.uk › media › media › schoolanddepartments › mlsc › downloads › var_stand_deviat_group.pdf pdf
Variance and standard deviation (grouped data) Introduction
Variance · The variance of a set of values, which we denote by σ2, is defined as · σ2 =  f(x −¯x)2 · n · where ¯x is the mean, x stands for each data value in turn, and f is the frequency with which data · value, x, occurs. Note that ·  f = n. An alternative, yet equivalent formula, ...
🌐
Omni Calculator
omnicalculator.com › statistics › grouped-data-standard-deviation
Grouped Data Standard Deviation Calculator
March 11, 2025 - What if you wanted to perform the computations yourself? Below you will find how to find the variance of grouped data and, therefore, the standard deviation: Find the midpoint of each range of grouped data. This is done using the formula:
🌐
BYJUS
byjus.com › jee › how-to-find-standard-deviation-of-grouped-data
How To Find Standard Deviation Of Grouped Data
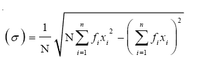
November 11, 2022 - Step 5: Find x̄ using the formula (1/N) ∑ni=1 fixi. Step 6: Find (xi – x̄)2 and enter in the 5th column. Step 7: Find fi(xi – x̄)2 and enter in the 6th column. Step 8: Find ∑fi(xi – x̄)2. Step 9: Find standard deviation using the formula:
🌐
UKMT
mathspanda.com › ASMa › Lessons › Standard_deviation_from_frequency_tables_LESSON.pdf pdf
Standard deviation from frequency tables Original formula ...
Finding the standard deviation of big numbers with only a basic calculator ... E.g. 5 In a golf competition, the number of shots taken for the round are given below: By using only the basic functions of a calculator, calculate the mean and standard deviation
Find elsewhere
🌐
Unacademy
unacademy.com › jee exam › jee study material › mathematics › calculating variance, mean & standard deviation of grouped and ungrouped data
Calculating Variance, Mean & Standard Deviation of Grouped and Ungrouped Data - Unacademy
March 7, 2022 - Here, x is the mean, n is the number of data values, stands for the sum of, f is the frequency of the data value, and x stands for each data value. Note: f = n · In other words, standard deviation, =variance for grouped data.
🌐
GeeksforGeeks
geeksforgeeks.org › mathematics › standard-deviation-formula
Standard Deviation - Formula, Examples & How to Calculate - GeeksforGeeks
July 6, 2022 - For the continuous grouped data, we can easily calculate the standard deviation using the Discrete data formulas by replacing each class with its midpoint (as xi) and then normally calculating the formulas.
🌐
University of Massachusetts
people.umass.edu › biep540w › pdf › Grouped Data Calculation.pdf pdf
Lecture 2 – Grouped Data Calculation
Variance for sample data: Standard Deviation: Population: Sample: Variance and Standard Deviation · -Grouped Data · No. of order · f · 10 – 12 · 13 – 15 · 16 – 18 · 19 – 21 · 4 · 12 · 20 · 14 · Total · n = 50 · No. of order · f · x · fx ·
🌐
Cuemath
cuemath.com › data › standard-deviation
Standard Deviation - Formula | How to Calculate Standard Deviation?
The deviation from this assumed mean is calculated as d = x - A. Then the standard deviation formula by assumed mean method is: ... The standard deviation of grouped data also can be calculated by "step deviation method".
🌐
AtoZMath
atozmath.com › example › StatsG.aspx
Sample Standard deviation Example for grouped data
Sample Standard deviation Example for grouped data - Sample Standard deviation Example for grouped data, step by step online
🌐
Statistics LibreTexts
stats.libretexts.org › campus bookshelves › fort hays state university › elements of statistics › 2: descriptive statistics
2.9: Measures of Variance and Standard Deviation on Grouped Data - Statistics LibreTexts
July 7, 2025 - This section has demonstrated that we can often compute range, variance, and standard deviation even after the data has been grouped into a frequency table or a relative frequency table. We also remind ourselves that the formulas developed in this section came from the meaning of each measure.
🌐
GeeksforGeeks
geeksforgeeks.org › data science › standard-deviation-in-frequency-distribution-series
Standard Deviation in Frequency Distribution Series - GeeksforGeeks
July 23, 2025 - Step 2: Now, the frequencies of the data set are multiplied by their respective deviations and are denoted by fd. Step 3: In the next step, the fd determined in the previous step is multiplied by the deviations (d). Step 4: The last step is to calculate the standard deviation of the frequency distribution series using the formula.
🌐
The Math Doctors
themathdoctors.org › mean-and-standard-deviation-of-grouped-data
Mean and Standard Deviation of Grouped Data – The Math Doctors
Grouped Data Income (*$1000) Midpoint(x) Number of Purchasers --------------- ----------- -------------------- 20 - 29.99 25 50 30 - 39.99 20 40 - 49.99 31 50 - 59.99 39 60 - 69.99 35 70 - 79.99 30 80 - 89.99 25 90 - 99.99 18 The above table is data from a survey of recent purchasers of superannuation plans. 1. Find the mean and standard deviation of the income of people purchasing superannuation plans.
🌐
University of Regina
uregina.ca › ~gingrich › o1806.pdf pdf
Standard deviation and variance for grouped data
October 18, 2006 - When working with data that are grouped into categories or intervals, the variance and standard deviation are again obtained using the deviations · about the mean and the squared value of these. But in this case, the sum of · squares of differences1 about the mean are weighted by the number of times ... Definition. A variable X that takes on values X1, X2, X3, ...Xk · with respective frequencies f1, f2, f3, ...fk has mean ... Alternative formula...
🌐
Unacademy
unacademy.com › jee exam › jee study material › mathematics › a clear explanation of standard deviation for grouped and ungrouped data
A Clear Explanation of Standard Deviation for Grouped and Ungrouped Data
July 21, 2022 - ... When the x values are big, the mean is determined by selecting an arbitrary value (A). The formula for the divergence from this supposed mean is d = x – A. ... In this article we learned that to discover how estimates for a group ...
🌐
YouTube
youtube.com › the organic chemistry tutor
How To Calculate The Standard Deviation of Grouped Data - YouTube
This statistics video explains how to calculate the standard deviation of grouped data. It discusses how to calculate the mean and standard deviation given ...
Published   January 30, 2019
Views   1M