The power of a signal is something different from the level of the signal. I'm not sure how to give a simple explanation of power, so here are a few key points:
- Power is not a linear function of the signal; when you double \
, you don't double the power of \
- you quadruple it.
- Power does not depend on the polarity of the signal. A negative signal has the same amount of power as a positive signal.
There are two ways to talk about power:
- The instantaneous power of a signal is \
. This is the power at time \
(ie: right now) and it doesn't depend on what happens to the signal before or after this moment. Notice that this formula fits both of the points from above.
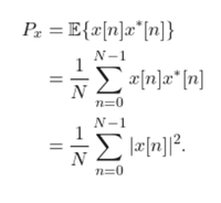
- The average power of a signal is the average of the instantaneous power - if your signal has a power of \
half of the time and \
the other half, then the average power is \
.
If you remember that the average of \ points is
then you can see that your formula is a calculation of the average power of \.
The power of a signal is something different from the level of the signal. I'm not sure how to give a simple explanation of power, so here are a few key points:
- Power is not a linear function of the signal; when you double \
, you don't double the power of \
- you quadruple it.
- Power does not depend on the polarity of the signal. A negative signal has the same amount of power as a positive signal.
There are two ways to talk about power:
- The instantaneous power of a signal is \
. This is the power at time \
(ie: right now) and it doesn't depend on what happens to the signal before or after this moment. Notice that this formula fits both of the points from above.
- The average power of a signal is the average of the instantaneous power - if your signal has a power of \
half of the time and \
the other half, then the average power is \
.
If you remember that the average of \ points is
then you can see that your formula is a calculation of the average power of \.
The formula is a variation on: Root Mean Square (RMS). It's missing the root function.
From Wikipedia:

If you summed values without squaring them, a symmetrical waveform would have zero power. Squaring the samples avoids this.
The 1/N sigma stuff is the arithmetic mean. This is your equation.
By taking the square root, you remove the nonlinear distortion caused by squaring your original samples. You may wish to double-check with your tutor: accidents can happen when transcribing equations (no finger pointing!)
Videos
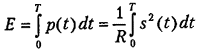
If the signal $r(t)$ is of finite length (and if integral of its square during its definition interval is also finite) then its average power given by $$ \bar{P_x} = \lim_{T \to \infty} \frac{1}{T} \int_{-T/2}^{T/2} |r(t)|^2 dt = \lim_{T \to \infty} \frac{1}{T} \int_{0}^{L} |r(t)|^2 dt = \lim_{T \to \infty} \frac{[\text{constant}]}{T} = 0$$ will be zero...
Btw, you may compute an instantaneous power of the signal, simply as the square of it $|r(t)|^2$...
Yes, you can say the average power is
$$ \bar{P}_r(t) = \frac{1}{t_2 - t_1} \int_{t_1}^{t_2} \left| x(t) \right| ^2 dt $$
Where I've just used $ T = t_2-t_1 $ in the first term and limits are adjusted accordingly. Your version has $t_1 = 0$ and $t_2 = T$.
The instantaneous power is:
$$ P_r(t_i) = \left| x(t_i) \right| ^2 $$