🌐
Penn State University
online.stat.psu.edu › stat414 › lesson › 8 › 8.5
8.5 - Sample Means and Variances | STAT 414
We could take a random sample of American college students, calculate the average for the students in the sample, and use that sample mean as an estimate of the population mean. Similarly, we could calculate the sample variance and use it to estimate the population variance \(\sigma^2\)
🌐
Penn State University
online.stat.psu.edu › stat414 › lesson › 24 › 24.4
24.4 - Mean and Variance of Sample Mean | STAT 414
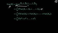
Now, the \(X_i\) are identically distributed, which means they have the same variance \(\sigma^2\). Therefore, replacing \(\text{Var}(X_i)\) with the alternative notation \(\sigma^2\), we get: \(Var(\bar{X})=\dfrac{1}{n^2}[\sigma^2+\sigma^2+\cdots+\sigma^2]\) Now, because there are \(n\) \(\sigma^2\)'s in the above formula, we can rewrite the expected value as: \(Var(\bar{X})=\dfrac{1}{n^2}[n\sigma^2]=\dfrac{\sigma^2}{n}\) Our result indicates that as the sample size \(n\) increases, the variance of the sample mean decreases.
People also ask

How do you find the sample variance?
To find the sample variance, first find the sample mean. Then subtract the mean from each measurement and square the difference. Add all of these values together and divide the result by the number of measurements minus one.
🌐
study.com
study.com › math courses › calculus-based probability & statistics
Sample Mean & Variance | Definition, Calculation & Examples - Lesson ...
What does the sample variance tell us?
The sample variance describes how spread out the data in a sample is. As long as a random sample was taken, this is also representative of the population variance.
🌐
study.com
study.com › math courses › calculus-based probability & statistics
Sample Mean & Variance | Definition, Calculation & Examples - Lesson ...
How do we calculate variance?
Before you can calculate variance, you need to calculate the mean. Then subtract the mean from each measurement. Square each of these differences, then add them together. Finally, divide this by the total number of measurements minus one.
🌐
study.com
study.com › math courses › calculus-based probability & statistics
Sample Mean & Variance | Definition, Calculation & Examples - Lesson ...

statistics computed from a sample of data

The sample mean (sample average) or empirical mean (empirical average), and the sample covariance or empirical covariance are statistics computed from a sample of data on one or more random variables. The … Wikipedia
🌐
Wikipedia
en.wikipedia.org › wiki › Sample_mean_and_covariance
Sample mean and covariance - Wikipedia
September 22, 2025 - Under this definition, if the sample (1, 4, 1) is taken from the population (1,1,3,4,0,2,1,0), then the sample mean is ... {\displaystyle \mu =(1+1+3+4+0+2+1+0)/8=12/8=1.5} . Even if a sample is random, it is rarely perfectly representative, and other samples would have other sample means even if the samples were all from the same population.
🌐
Wikipedia
en.wikipedia.org › wiki › Variance
Variance - Wikipedia
1 week ago - This formula is used in the Spearman–Brown prediction formula of classical test theory. This converges to ρ if n goes to infinity, provided that the average correlation remains constant or converges too. So for the variance of the mean of standardized variables with equal correlations or converging average correlation we have ... Therefore, the variance of the mean of a large number of standardized variables is approximately equal to their average correlation. This makes clear that the sample mean of correlated variables does not generally converge to the population mean, even though the law of large numbers states that the sample mean will converge for independent variables.
🌐
Study.com
study.com › math courses › calculus-based probability & statistics
Sample Mean & Variance | Definition, Calculation & Examples - Lesson | Study.com
July 21, 2020 - When calculating the sample variance, it can be helpful to use a table like the one below. In this table, the mean was subtracted from each measurement and the difference was squared. Each of these values was added together and divided by the total number of measurements minus one.
🌐
CalculatorSoup
calculatorsoup.com › calculators › statistics › variance-calculator.php
Variance Calculator
Subtract the mean from each data value and square the result. ... Find the sum of all the squared differences. The sum of squares is all the squared differences added together. ... Calculate the variance. Variance is the sum of squares divided by the number of data points. ... The formula for variance of a is the sum of the squared differences between each data point and the mean, divided by the number of data values...
🌐
Statistics LibreTexts
stats.libretexts.org › campus bookshelves › saint mary's college, notre dame › dsci 500b essential probability theory for data science (kuter) › 7: the sample variance and other distributions
7.2: Sample Variance - Statistics LibreTexts
November 10, 2020 - Theorem 7.2.1 provides formulas for the expected value and variance of the sample mean, and we see that they both depend on the mean and variance of the population. The fact that the expected value of the sample mean is exactly equal to the population mean indicates that the sample mean is ...
Find elsewhere
🌐
Duke University
www2.stat.duke.edu › courses › Fall18 › sta611.01 › Lecture › lec12_mean_var_indep.pdf pdf
Show Sample Mean and Variance are independent under ...
Theorem 1. Suppose X1, X2, · · · , Xn is a random sample from a normal distribution with mean, µ, and variance, σ2. It follows that the sample mean, X, is independent of Xi −X, i = 1, 2, ·
🌐
Scribbr
scribbr.com › home › how to calculate variance | calculator, analysis & examples
How to Calculate Variance | Calculator, Analysis & Examples
June 21, 2023 - The variance is a measure of variability. It is calculated by taking the average of squared deviations from the mean. Variance tells you the degree of
🌐
Probability Course
probabilitycourse.com › chapter8 › 8_2_2_point_estimators_for_mean_and_var.php
Point Estimators for Mean and Variance
Let $X_1$, $X_2$, $X_3$, $...$, $X_n$ be a random sample with mean $EX_i=\mu<\infty$, and variance $0<\mathrm{Var}(X_i)=\sigma^2<\infty$. The sample variance of this random sample is defined as \begin{align}%\label{} {S}^2=\frac{1}{n-1} \sum_{k=1}^n (X_k-\overline{X})^2=\frac{1}{n-1} \left(\sum_{k=1}^n X^2_k-n\overline{X}^2\right).
🌐
Cuemath
cuemath.com › sample-variance-formula
Sample Variance - Definition, Meaning, Formula, Examples
Heights (in m) = {43, 65, 52, 70, 48, 57} Solution: As the variance of a sample needs to be calculated thus, the formula for sample variance is used. n = 6, Mean = (43 + 65 + 52 + 70 + 48 + 57) / 6 = 55.833 m.
🌐
Statistics LibreTexts
stats.libretexts.org › bookshelves › introductory statistics › introductory statistics (lane) › 9: sampling distributions
9.5: Sampling Distribution of the Mean - Statistics LibreTexts
April 23, 2022 - Therefore, the formula for the mean of the sampling distribution of the mean can be written as: ... That is, the variance of the sampling distribution of the mean is the population variance divided by \(N\), the sample size (the number of scores used to compute a mean).
Top answer
1 of 3
1

I'll do my best to summarise some of this in a hopefully digestible way. I think some of the confusion arises from the difference between "the variance of the sample mean" and "the variance of a sample" (and potentially the variance of the variance of a sample)

1: Variance of the Sample Mean. Take a sample of size N, calculate its mean. Take another sample, calculate its mean, etc... now you have lots of sample means. The variance of the means of those samples is the variance of the sample means

2: Sample variance: Take a sample of size N. Calculate the variance within that sample

3: Variance of sample variance. As in (1), take many samples of size N, calculate all of their variances, then calculate the variance of these.

Now let's state some facts about these

Sample Mean:

You sample N times from a distribution with mean $\mu$ and variance $\sigma ^{2}$. The expected value of your sample mean is $\mu$, and the variance of the sample mean (see (1) above) will be $\frac{\sigma ^{2}}{N}$

The above holds for most underlying distributions (there are some restrictions, e.g. the mean/variance must be defined).

If the underlying distribution is Gaussian, then we can say more than just what the expected value and variance of the sample mean will be. Then we know the full distribution. The sample mean will be a normally distributed with mean $\mu$ and variance $\frac{\sigma ^{2}}{N}$ (which is consistent with what I just said), but if the distribution is not normal, then this will only be approximately true as N increases (this is the central limit theorem). The number 30 is not a good benchmark for what a good N is, it depends on the distribution.

Sample Variance:

If you take a sample of size N from a distribution and calculate the variance of the sample ((2) above), its expected value is $\frac{N-1}{N}\sigma^{2}$, i.e. a little bit smaller than the true distribution's variance. So if you took many samples of size N, calculated the variance within each sample and averaged these variances, you'd expect to get the above.

I'm not aware if there is a formula for the variance on the variance ((3) above).

The above holds for most distributions (as with sample mean). If however you know the underlying distribution is normal, then again, you don't just know the expected value of the sample variance, you know its full distribution, and it's given by a chi-squared distributed with (N-1) degrees of freedom, which I believe is consistent with the expected value being $\frac{N-1}{N}\sigma ^{2}$, although this is not as obviously trivially true as in the sample mean case above.

t-statistic (combining the two)

Now when you take a sample from a distribution, the t-statistic is a way of combining the sample mean and sample variance, $\frac{\bar{x}}{\frac{s}{\sqrt{N-1}}}$ where $\bar{x}$ is the sample mean and $s$ is the square root of the sample variance. This might seem like a somewhat arbitrary quantity to calculate, but it turns out that one can show that this quantity follows the t-distribution with (N-1) degrees of freedom, provided the underlying data is sample from a normal distribution.

I'm not very knowledgable about what this is used for in practice (it's called a t-test but I don't use them much, so I'll let somebody else take this part), but it involves comparing the t-statistic of different samples and then referencing them against a "t-table" to determine whether they're likely to have come from the same underlying distribution or not. This is where the number 30 comes in. For samples of size N, you must reference a "t-table with N degrees of freedom". If turns out that as N grows to about 30, a t-table starts to look very similar to a Z-table. What that means is that for N>30, the t-statistic is distributed approximately normally, i.e. like the Z-statistic. The Z-statistic involves dividing the sample mean by the distributional variance if you know it...but in practice this is never the case, when would it ever be the case that you're sampling from a distribution whose mean you don't know but whose variance you do?

Note that all of this stuff around t- and z- statistics only apply when you assume that your sample has been sampled from a normal distribution. If you don't know the underlying distribution, you can still make some assertions (subject to some assumptions about the distribution) about expected values of the sample mean, the variance of the sample mean, and expected values of the sample variance, but knowing the means and variances of distributions is less powerful than knowing the full distribution.

2 of 3
0

Regarding your last point, you use the formula ((n-1)S^2) / σ^2 to compute inference tests on the sample variance. And yes, it is distributed as a chi-square with n-1 DF.

🌐
Statistics How To
statisticshowto.com › home › probability and statistics topics index › descriptive statistics: definition & charts and graphs › sample variance: simple definition, how to find it in easy steps
Sample Variance: Simple Definition, How to Find it in Easy Steps - Statistics How To
September 30, 2024 - Divide the number in Step 4 by the number in Step 5. This gives you the variance: 31,099.5 / 5 = 6,219.9. Take the square root of your answer from Step 8. This gives you the standard deviation: ... That’s it! Important note: The standard deviation formula is slightly different for populations and samples (a portion of the population).
🌐
Quora
quora.com › How-do-I-understand-mean-and-variance-of-the-sample-mean
How to understand mean and variance of the sample mean - Quora
Answer (1 of 5): You are confusing variance of the variable itself (sigma squared) with the variance of your estimate of the mean based on the sample. It does not help that both are named 'variance' and both have something to do with the mean. Let me give you an example. Let's say you are lookin...
🌐
ScienceDirect
sciencedirect.com › topics › computer-science › sample-variance
Sample Variance - an overview | ScienceDirect Topics
Sample variance is defined as the ... second moment of inertia. It is calculated by taking the sum of the squared differences between each observation and the sample mean, divided by the total number of observations minus one....
🌐
Wolfram MathWorld
mathworld.wolfram.com › SampleVariance.html
Sample Variance -- from Wolfram MathWorld
July 2, 2003 - The sample variance m_2 (commonly written s^2 or sometimes s_N^2) is the second sample central moment and is defined by m_2=1/Nsum_(i=1)^N(x_i-m)^2, (1) where m=x^_ the sample mean and N is the sample size.
🌐
Random Services
randomservices.org › random › sample › Variance.html
The Sample Variance
So the medians are the natural measures of center associated with \(\mae\) as a measure of error, in the same way that the sample mean is the measure of center associated with the \(\mse\) as a measure of error. In this section, we establish some essential properties of the sample variance and standard deviation. First, the following alternate formula for the sample variance is better for computational purposes, and for certain theoretical purposes as well.