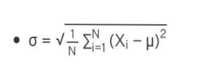
"Concept: The Standard Deviation: The Standard Deviation is the most stable measure of variability. Therefore it is most commonly used in research studies. Calculation of Standard Deviation for Ungrouped Data Standard Deviation for ungrouped data can be computed by the following formula. The formula for Standard Deviation = (sqrt{frac{{โˆ‘ X^2}}{N}}) Where x = Deviation from mean of the data, N = Total number of students. Given: Marks of students: 85, 65, 55, 42, 69, 83, 92, 77. Calculation: Mean of the marks = (frac{85~+~65~+~55~+~42~+~69~+~83~+~92~+~77}{8}) (=frac{568}{8}=71) Marks (X) Deviation from the mean (x) = (Marks - Mean) (x2) Square of deviation of the mean 85 85 - 71 = 14 196 65 65 - 71 = -6 36 55 55 - 71 = -16 256 42 42 - 71 = -29 841 69 69 - 71 = 2 4 83 83 - 71 = 12 144 92 92 - 71 = 21 441 77 77 - 71 = 6 36 Total   (sum x^2=1954) We know that, Standard Deviation (SD) = (sqrt{frac{{โˆ‘ X^2}}{N}}) Here (sum x^2) = 1954, N = 8 Then, SD = (sqrt{frac{{1954}}{8}}) = (sqrt{244.25}) = 15.63 Thus the standard deviation for this data is 15.63 Additional Information Steps For ungrouped data Add all the scores (โˆ‘x) and divide this sum by the number of scores (N) and find out the mean. Find out the difference between scores and means (X - x) and find out deviation (x). Square all the deviation to get x2. Add all the squared deviation to get (sum x^2) Divide (sum x^2) by N. Find out the square root of the obtained values." Answer from Testbook on testbook.com
๐ŸŒ
Scribd
scribd.com โ€บ document โ€บ 420229397 โ€บ Grouped-and-Ungrouped-Data
Grouped and Ungrouped Data | PDF | Standard Deviation | Variance
It defines mean, median, mode, range, variance and standard deviation, and provides examples of calculating each measure for ungrouped and grouped data sets. Formulas for calculating variance and standard deviation are also presented along with a full example calculation for an ungrouped data set.
Rating: 4.2 โ€‹ - โ€‹ 10 votes
๐ŸŒ
Unacademy
unacademy.com โ€บ jee exam โ€บ jee study material โ€บ mathematics โ€บ a clear explanation of standard deviation for grouped and ungrouped data
A Clear Explanation of Standard Deviation for Grouped and Ungrouped Data
July 21, 2022 - The total of the squared differences between each data point and the mean, divided by the number of data points, is the formula for variance (sยฒ). Answer: The following steps should be followed to determine the variance and standard deviation ...
People also ask

What is standard deviation of ungrouped data?
The difference between each observation and the mean is summarized by the standard deviation. The positive w...Read full
๐ŸŒ
unacademy.com
unacademy.com โ€บ jee exam โ€บ jee study material โ€บ mathematics โ€บ a clear explanation of standard deviation for grouped and ungrouped data
A Clear Explanation of Standard Deviation for Grouped and Ungrouped ...
How can you calculate the ungrouped data's standard deviation?
The following steps should be followed to determine the variance and standard deviation for ungrouped data. ...Read full
๐ŸŒ
unacademy.com
unacademy.com โ€บ jee exam โ€บ jee study material โ€บ mathematics โ€บ a clear explanation of standard deviation for grouped and ungrouped data
A Clear Explanation of Standard Deviation for Grouped and Ungrouped ...
What is a group of numbers' standard deviation?
The square root of the estimated variance of a collection of data is the standard deviation of that set. The...Read full
๐ŸŒ
unacademy.com
unacademy.com โ€บ jee exam โ€บ jee study material โ€บ mathematics โ€บ a clear explanation of standard deviation for grouped and ungrouped data
A Clear Explanation of Standard Deviation for Grouped and Ungrouped ...
๐ŸŒ
University of Regina
uregina.ca โ€บ ~gingrich โ€บ o1806.pdf pdf
Standard deviation and variance for grouped data
When working with data that are grouped into categories or intervals, the variance and standard deviation are again obtained using the deviations ยท about the mean and the squared value of these. But in this case, the sum of ยท squares of di๏ฌ€erences1 about the mean are weighted by the number of times ... De๏ฌnition. A variable X that takes on values X1, X2, X3, ...Xk ยท with respective frequencies f1, f2, f3, ...fk has mean ... Alternative formula.
๐ŸŒ
Unacademy
unacademy.com โ€บ jee exam โ€บ jee study material โ€บ mathematics โ€บ calculating variance, mean & standard deviation of grouped and ungrouped data
Calculating Variance, Mean & Standard Deviation of Grouped and Ungrouped Data - Unacademy
March 7, 2022 - We will learn how to calculate the mean, variance, and standard deviation of grouped and ungrouped data. The variance calculator can be used to calculate the variance, standard deviation, and mean from a set of data with the sample size n to understand how far the observations deviate from the mean.
๐ŸŒ
Slideshare
slideshare.net โ€บ home โ€บ education โ€บ standard deviation :grouped data/continuous data
Standard deviation :grouped data/Continuous data | PPSX
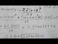
Three Methods a) ActualMean Method or Direct Method b) Assumed Mean Method or Short-cut Method c) Step-Deviation Method ๏ฑ 5/2/2020 Janak Singh Saud 8 ... โ€ข The S.D.for the Grouped data is given by the formula: ๐œŽ = ๐‘“ ๐‘š โˆ’ ๐‘ฅ 2 ๐‘ , ...
๐ŸŒ
Statistics LibreTexts
stats.libretexts.org โ€บ campus bookshelves โ€บ fort hays state university โ€บ elements of statistics โ€บ 2: descriptive statistics
2.9: Measures of Variance and Standard Deviation on Grouped Data - Statistics LibreTexts
July 7, 2025 - As shown by the bottom right measure in the table, this grouped sample data has a variance measure of \( s^{2}\) \(\approx 3.2368.\) The sample standard deviation measure is: \( s \) \(= \sqrt{s^{2}}\) \(\approx \sqrt{3.2368}\) \(\approx 1.7991.\) We can compare this result with the calculated variance for the ungrouped data set to see that we have produced the same measure.
Find elsewhere
๐ŸŒ
Loughborough University
lboro.ac.uk โ€บ media โ€บ media โ€บ schoolanddepartments โ€บ mlsc โ€บ downloads โ€บ var_stand_deviat_group.pdf pdf
Variance and standard deviation (grouped data) Introduction
Variance and standard deviation (grouped data) ยท In this lea๏ฌ‚et we extend the de๏ฌnitions of variance and standard deviation to data which has been
๐ŸŒ
Cuemath
cuemath.com โ€บ data โ€บ standard-deviation
Standard Deviation - Formula | How to Calculate Standard Deviation?
If they represent the population, then use the population standard deviation formula โˆš [ 1/n โˆ‘(xi - population mean)2. When the data is ungrouped, the standard deviation (SD) can be calculated in the following 3 methods.
๐ŸŒ
Vinayakarmatriculationschool
vinayakarmatriculationschool.com โ€บ documents โ€บ XSTD-old โ€บ Maths โ€บ M-69.pdf pdf
Calculation of Standard deviation for grouped data ...
Higher Studies with and without Entrance Examinations Read more ยท The objectives of the exhibitions are to provide a forum for Read more
๐ŸŒ
PW
pw.live โ€บ exams โ€บ school โ€บ standard-deviation-formula
Standard Deviation Formula, Definition, Methods
The standard deviation of ungrouped data via the step deviation method is determined by the following formula: ฯƒ = โˆš[(โˆ‘(d')ยฒ / n) - (โˆ‘d' / n)ยฒ] ร— i, where 'n' signifies the total number of data values.
๐ŸŒ
GeeksforGeeks
geeksforgeeks.org โ€บ mathematics โ€บ standard-deviation-formula
Standard Deviation - Formula, Examples & How to Calculate - GeeksforGeeks
July 6, 2022 - For a given data set, if it has n values (x1, x2, x3, ..., xn) and the frequency corresponding to them is (f1, f2, f3, ..., fn), then its standard deviation is calculated using the formula, ... Mean (xฬ„) = โˆ‘(fi xi)/โˆ‘(fi) โ‡’ Mean (ฮผ) = ...
๐ŸŒ
Slideshare
slideshare.net โ€บ home โ€บ entertainment & humor โ€บ standard deviation and variance
Standard Deviation and Variance | PPTX
How to Calculatethe Standard Deviation for Ungrouped Data 4. Add up all the squares of the difference between each score and the mean. 5. Divide the obtained sum by n โ€“ 1. 6. Extract the positive square root of the obtained quotient.
๐ŸŒ
Scribd
scribd.com โ€บ document โ€บ 44848818 โ€บ Grouped-and-Ungrouped-Data
Grouped and Ungrouped Data | PDF | Median | Coefficient Of Variation
The document provides formulas and methods for calculating measures of central tendency and dispersion for both grouped and ungrouped data, including mean, median, mode, range, variance, standard deviation, and more. It emphasizes knowing when to use population vs. sample formulas and choosing ...
Rating: 4.2 โ€‹ - โ€‹ 5 votes
๐ŸŒ
Unacademy
unacademy.com โ€บ cbse class 11 โ€บ cbse class 11 study materials โ€บ mathematics โ€บ standard deviation for ungrouped data
Standard Deviation for Ungrouped Data- Formula and Differences
May 25, 2022 - Ungrouped data is presented in the form of lists, whereas grouped data is expressed using frequency tables ยท The original form of data, as obtained by the researcher, is ungrouped data, which is not summarised. A frequency distribution, on the other hand, summarises aggregated data ยท Standard deviation estimates differ depending on the data.
๐ŸŒ
Slideshare
slideshare.net โ€บ home โ€บ education โ€บ measures of variation (ungrouped data)
Measures of Variation (Ungrouped Data) | PPTX
Sample mean The n that can be seen below in the formula in finding the mean defines the number of value seen in the set of numbers. ... โˆš Sample Standard Deviation (82-90)2 + (93-90)2 + (98-90) 2 + (89-90) 2 + (88-90) 2 5 โ€“ 1 โˆš (-8) 2 + (3)2 + (8) 2 + (-1) 2 + (-2) 2 4 5.958 โˆš 64 + 9 + 64 + 1 + 4 4 = 142 4 = = = = = โˆš35.5 โˆš
๐ŸŒ
Scribd
scribd.com โ€บ document โ€บ 489405810 โ€บ gghh
How To Calculate Standard Deviation For Ungrouped Data | PDF | Standard Deviation | Variance
For ungrouped data, standard deviation is found by arranging the data, calculating the mean, taking the differences from the mean, squaring those differences, finding their average, and taking the square root of the average.