๐ŸŒ
AtoZmath
atozmath.com โ€บ StatsG.aspx
Sample Variance, Standard deviation and coefficient of variation for grouped data calculator
Find Sample Variance, Standard deviation and coefficient of variation for grouped data calculator - Find Sample Variance, Standard deviation and coefficient of variation for grouped data, step-by-step online
๐ŸŒ
VrcAcademy
vrcacademy.com โ€บ tutorials โ€บ statistics โ€บ descriptive statistics โ€บ variance and standard deviation for grouped data calculator
Variance and Standard Deviation for Grouped Data Calculator - VrcAcademy
April 25, 2024 - Use Variance and Standard Deviation for Grouped Data calculator to calculate sample mean,sample variance and sample standard deviation for grouped data based on data provided in class groups and type of frequency distribution.
People also ask

How to calculate the mean of grouped data?
  1. Determine the midpoint of each interval.
  2. Sum up all frequencies to obtain the number of samples.
  3. For each range of grouped data, multiply its midpoint by associated frequency. Add them all up.
  4. Divide this value by the number of samples.
๐ŸŒ
omnicalculator.com
omnicalculator.com โ€บ statistics โ€บ grouped-data-standard-deviation
Grouped Data Standard Deviation Calculator
Why does the variance use squares?

Variance uses squared differences from the mean to prevent obtaining negative values or zero due to canceling out the terms. It also weighs outliers more heavily than data closer to the average, so the differences are more significant.

๐ŸŒ
omnicalculator.com
omnicalculator.com โ€บ statistics โ€บ grouped-data-standard-deviation
Grouped Data Standard Deviation Calculator
What is the difference between standard deviation and variance?

Variance uses squares, whereas the standard deviation is expressed in the same units as the mean, so the latter is easier to interpret and use. However, you must calculate the variance to obtain the standard deviation.

๐ŸŒ
omnicalculator.com
omnicalculator.com โ€บ statistics โ€บ grouped-data-standard-deviation
Grouped Data Standard Deviation Calculator
๐ŸŒ
CalculatorSoup
calculatorsoup.com โ€บ calculators โ€บ statistics โ€บ variance-calculator.php
Variance Calculator
November 4, 2025 - Calculates variance and standard deviation for a data set. Calculator finds variance, the measure of data dispersion, and shows the work for the calculation.
๐ŸŒ
MathCracker
mathcracker.com โ€บ sample-variance-of-grouped-data-calculator
Sample Variance of Grouped Data Calculator - MathCracker.com
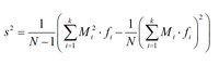
October 9, 2019 - By using the midpoints are the representative of the values in the classes, we can use this familiar formula to get the variance of grouped data: \[ s^2 = \frac{ 1}{N-1}\left(\sum_{i=1}^n M_i^2 \cdot f_i - \frac{1}{N}\left(\sum_{i=1}^n M_i \cdot f_i \right)^2 \right) \] where the values \(M_i\) are the midpoints, \(n\) is the total number of classes, and \(N\) is the total sample size. You can also use this sample mean of grouped data calculator if you are instead interested in computing the sample mean, because you may be interested in analyzing the measures of central tendency as opposed to the measures of dispersion
๐ŸŒ
HackMath
hackmath.net โ€บ en โ€บ calculator โ€บ variance
Variance calculator (statistics)
For example: 10 20 30 40 50 60 70 80 90 100 ยท Simple. Write data elements (separated by spaces or commas, etc.), then write f: and further write the frequency of each data item. Each element must have a defined frequency that counts numbers before and after the symbol f: must be equal.
๐ŸŒ
Omni Calculator
omnicalculator.com โ€บ statistics โ€บ grouped-data-standard-deviation
Grouped Data Standard Deviation Calculator
March 11, 2025 - Use the grouped data standard deviation calculator to find the mean, variance, and standard deviation of given data ranges.
๐ŸŒ
AtoZMath
atozmath.com โ€บ example โ€บ StatsG.aspx
Sample Variance Example for grouped data
Sample Variance Example for grouped data - Sample Variance Example for grouped data, step by step online
๐ŸŒ
NCalculators
ncalculators.com โ€บ statistics โ€บ grouped-data-standard-deviation-calculator.htm
Grouped Data Standard Deviation Calculator
frquency distribution or grouped standard deviation calculator - step by step calculation to measure the grouped data dispersion from the mean based on the group or range & frequency of data, provided with formula & solved example problems for statistical data analysis
Find elsewhere
๐ŸŒ
Calculator.net
calculator.net โ€บ home โ€บ math โ€บ standard deviation calculator
Standard Deviation Calculator
This free standard deviation calculator computes the standard deviation, variance, mean, sum, and error margin of a given data set.
๐ŸŒ
YouTube
youtube.com โ€บ watch
Find the Mean, Variance, & Standard Deviation of Frequency ...
Enjoy the videos and music you love, upload original content, and share it all with friends, family, and the world on YouTube.
๐ŸŒ
YouTube
youtube.com โ€บ fina idris
Variance of Grouped Data using CASIO fx-570EX - YouTube
I hope you learn something from this video.Thanks for watching!
Published ย  September 2, 2022
Views ย  779
๐ŸŒ
Statology
statology.org โ€บ home โ€บ how to find the variance of grouped data (with example)
How to Find the Variance of Grouped Data (With Example)
February 11, 2022 - This tutorial explains how to find the variance of grouped data, including a complete example.
๐ŸŒ
BYJUS
byjus.com โ€บ variance-formula
Variance Formulas for Grouped Data
November 22, 2021 - The variance of a sample for grouped data is: s2 = โˆ‘ f (m โˆ’ xฬ…)2 / n โˆ’ 1 ยท Where, f = frequency of the class ยท m = midpoint of the class ยท These two formulas can also be written as: Try: Variance Calculator ยท Summary: Also Check: ...
๐ŸŒ
AtoZmath
atozmath.com โ€บ CONM โ€บ Ch2_SD_G.aspx
Standard Deviation and Coefficient of Variation for grouped data calculator
Standard Deviation and Coefficient of Variation calculator - Find standard deviation and coefficient of variation for grouped data, step-by-step online
๐ŸŒ
Unacademy
unacademy.com โ€บ jee exam โ€บ jee study material โ€บ mathematics โ€บ calculating variance, mean, and standard deviation of grouped/ungrouped data
Calculating Variance, Mean & Standard Deviation of Grouped and Ungrouped Data
March 7, 2022 - To calculate the mean for grouped data, we will use the data from Example 2: Height of students given in a tabular form below and calculate the midpoints of the intervals. The sum of observations is calculated by multiplying the frequency with the midpoint of the interval. The variance is an estimate of the degree of variability.
๐ŸŒ
Standard Deviation Calculator
standarddeviationcalculator.io โ€บ variance-calculator
Variance Calculator - Sample/Population
Variance Calculator finds the variance, standard deviation, mean, and sum of squares of comma separated values with steps
๐ŸŒ
Socscistatistics
socscistatistics.com โ€บ descriptive โ€บ variance โ€บ default.aspx
Variance Calculator
Simply enter your data into the textbox below, either one score per line or as a comma delimited list, and then press "Calculate". Note: If you want to calculate the pooled variance of two samples, then you can use our pooled variance calculator.
๐ŸŒ
365 Data Science
365datascience.com โ€บ calculators โ€บ variance-calculator
Variance Calculator
Do you need to find a Variance Calculator quickly? Input your data to obtain the metric, step-by-step calculation, Python and R codes, and more. Calculate now.
๐ŸŒ
Alcula
alcula.com โ€บ calculators โ€บ statistics โ€บ variance
Variance Calculator
Online calculator to compute the variance from a set of observations from a population or a sample.